Publique conteúdo & ganhe rendimento de conteúdo de mineração
placeholder
gatefun
gatefun
O preço do XRP vai recuperar-se como Brad Garlinghouse prevê $10 trilhão a fluir para o XRPL?
O preço do XRP continuou a sua tendência de baixa em fevereiro, apesar de catalisadores notáveis, incluindo entradas de ETF superiores às de Ethereum e Bitcoin, o lançamento da funcionalidade de DEX permissionada e entradas substanciais de ativos do mundo real.
O token Ripple $XRP caiu para um mínimo de $1.1137 em fevereiro, o seu nível mais baixo desde novembro de 2024, e 70% abaixo do seu máximo histórico.
Algumas métricas-chave do XRP tiveram bom desempenho em fevereiro, mesmo com a crise do merca
XRP1,53%
Ver original
post-image
  • Recompensa
  • Comentário
  • Repostar
  • Compartilhar
🇸🇦 ATUALIZAÇÃO: Saudi Aramco encerra a refinaria de petróleo de Ras Tanura após ataque de drone.
A instalação tem uma capacidade de 550.000 barris de petróleo por dia.
#IranTensionsEscalate #Bitcoin’sSafeHavenAppeal
BTC4,09%
Ver original
post-image
  • Recompensa
  • Comentário
  • Repostar
  • Compartilhar
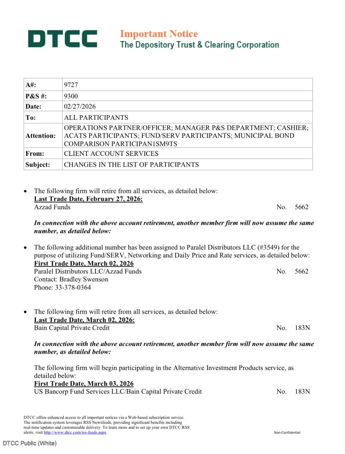
BREAKING: DTCC OFICIALMENTE APROVA RIPPLE PRIME NA LISTA DE PARTICIPANTES DA NSCC 😳🔥
Um Aviso Importante da DTCC CONFIRMA que @Ripple Prime foi adicionado ao diretório de participantes da National Securities Clearing Corporation (NSCC) — com efeito a partir de 2 de março de 2026. 👀
A NSCC é uma subsidiária da DTCC.
A DTCC processa TRILHÕES de DÓLARES em transações de valores mobiliários nos EUA todos os dias. 🤯📈
Ver original
post-image
post-image
  • Recompensa
  • Comentário
  • Repostar
  • Compartilhar
星星之火
星星之火
星星之火
gatefun
Criado por@gatefunuser_936d
Progresso da listagem
100.00%
Cap. de M.:
$2.16K
Mais tokens
$BNB Morning Trade plan foi simples & atingiu todas as metas 🎯
Formação de bandeira de alta.
Preço a assentar na linha de tendência inferior + suporte horizontal em 614.
Risco definido. Estrutura limpa. Oportunidade clara.
Preço rompeu a bandeira com força. O momentum expandiu-se.
Preço não apenas tocou em 640… estendeu-se até 652+ 🚀
Suporte manteve-se → Compradores entraram → Rompimento confirmado → Metas atingidas.
Se apanhou este movimento, sabe o quão rápido aconteceu assim que a volatilidade entrou em ação.
Agora a parte importante:
Após uma forte expansão vertical, o mercado normalment
BNB3,46%
Ver original
post-image
post-image
CryptoSatvip
$BNB está atualmente formando um pavilhão de alta no gráfico de 1 hora após a forte recuperação de 588. O preço está agora a negociar em torno de 614–615, exatamente sobre o suporte horizontal enquanto a estrutura se estreita em direção ao vértice.
Situação atual:
A zona de 608–612 está a atuar como um pocket de reação. Os compradores estão a defender este nível várias vezes, e enquanto isso se mantiver, é provável um rebound de curto prazo em direção a 624–630. Isto é mais uma rotação dentro da estrutura, ainda não uma ruptura confirmada.
Se o preço subir para 624–630, essa linha de tendência superior volta a tornar-se resistência imediata. Uma quebra limpa e manter-se acima de 630 poderia expandir-se para 636–640.
No entanto, se o suporte em 606 for rompido, a estrutura de alta enfraquece e poderemos ver uma rápida queda em direção a 600–595.
Ideia rápida de configuração de scalp:
Entrada: 612–608
Stop Loss: 606
Zona de alvo: 620, 630, 640
Estrutura apertada. Movimentos rápidos. Gerir risco.
➖➖➖➖➖
Siga Crypto Sat 🟨
repost-content-media
  • Recompensa
  • Comentário
  • Repostar
  • Compartilhar
#JaneStreet10AMSellOff
A narrativa recusou-se a desaparecer silenciosamente. No final de fevereiro de 2026, as redes sociais de criptomoedas explodiram com alegações de que a Jane Street, uma das maiores empresas de trading quantitativo do mundo e um Participante Autorizado (AP) chave em ETFs de Bitcoin à vista (notavelmente o IBIT da BlackRock), estaria supostamente a executar uma “venda sistemática às 10h ET”. A alegação: A cada abertura do mercado dos EUA (~10h00 ET), a Jane Street vendia BTC de forma programada nos mercados à vista e de futuros para suprimir o preço, desencadear liquidaçõ
BTC4,09%
LUNA-0,65%
Ver original
post-image
  • Recompensa
  • Comentário
  • Repostar
  • Compartilhar
$TRUMP $TRUMP /USDT Análise
Zona de Entrada: $3.350 – $3.450
Objetivos: $3.800, $4.100, $4.450
Stop Loss: $3.150
Análise: TRUMP encontra-se atualmente numa fase de consolidação com uma ligeira tendência de alta, a negociar a $3.512. O preço subiu com sucesso acima de todas as três médias móveis principais: MA 7 ($3.453), MA 25 ($3.424), e a média móvel de longo prazo MA 99 ($3.443). Este "aperto de médias móveis" sugere que o ativo está a acumular energia para um movimento direcional; enquanto permanecer acima do piso da MA 99 ($3.443), a perspetiva mantém-se positiva.
TRUMP1,28%
Ver original
post-image
  • Recompensa
  • Comentário
  • Repostar
  • Compartilhar
$USDT.D março será um bom mês
Ver original
post-image
  • Recompensa
  • Comentário
  • Repostar
  • Compartilhar
Minha Atualização Diária Sobre Cripto🏆
Gráfico 1: Análise do Bitcoin ($BTC )
Durante o fim de semana, fechámos com um martelo de alta seguido por um doji na resistência e abaixo de todas as médias móveis exponenciais (EMAs). Atualmente, estamos formando uma possível vela de alta abaixo da resistência e de todas as EMAs.
Atualmente, o OBV mostra divergência de baixa e o RSI indica divergência de alta com possível divergência oculta de baixa.
A estrutura do mercado é de baixa. Para inverter a tendência para alta, precisamos de um HL seguido de um HH.
Gráfico 2: Dominância do USDT (USDT.D)
Duran
BTC4,09%
Ver original
post-image
post-image
post-image
post-image
  • Recompensa
  • Comentário
  • Repostar
  • Compartilhar
#btc O Ano Novo está quase a acabar, será que o Bitcoin consegue sair desta?
BTC4,09%
Ver original
post-image
post-image
  • Recompensa
  • Comentário
  • Repostar
  • Compartilhar
$BTC ‌$BTC SAYLOR ATACA NOVAMENTE: Estratégia Adiciona 3.015 BTC em $204M Movimento
A estratégia acabou de fazer mais uma grande compra de Bitcoin - adquirindo 3.015 BTC por $204,1 milhões a um preço médio de $67.700 por moeda.
Isso eleva o seu total para impressionantes 720.737 BTC.
Deixe esse número assentar.
A empresa já investiu aproximadamente $54,77 bilhões em Bitcoin, com um custo médio de aquisição de $75.985 por BTC. Cada queda, eles acumulam. Cada recuo, eles reforçam a posição.
Esta não é uma especulação de curto prazo - é uma posição implacável, de alta convicção, em escala instit
BTC4,09%
Ver original
post-image
  • Recompensa
  • Comentário
  • Repostar
  • Compartilhar
#GateSurpasses50MGlobalRegisteredUsers GateSupera50MUsuáriosRegistadosGlobais
🚀 50 Milhões de Fortes — Uma Mudança Estrutural, Não Apenas uma Estatística
Em 2 de março de 2026, a Gate ultrapassou oficialmente 50 milhões de usuários registados.
Isto não é apenas crescimento.
Isto é uma transição.
A Gate está a evoluir de uma “potência de listagens” de rápido crescimento para um centro de liquidez sistémico e maduro, numa altura em que o capital global procura ativamente coberturas digitais.
E o timing? Extremamente estratégico.
Com o aumento do stress geopolítico e a rotação de capital para at
BTC4,09%
GT1,01%
Ver original
post-image
  • Recompensa
  • 1
  • Repostar
  • Compartilhar
MasterChuTheOldDemonMasterChuvip:
Rush de 2026 👊
A assistir toda essa ação do @xeetdotai de fora ...
Isto não faz sentido
Ver original
post-image
  • Recompensa
  • Comentário
  • Repostar
  • Compartilhar
$GMRX
$GMRX
GamerX
gatekol
Criado por@ThebeginningofLife
Progresso da assinatura
0.00%
Cap. de M.:
$0
Mais tokens
A prata à vista continua a sua forte queda, agora a descer 7% a $86,45/oz, enquanto os traders preparam-se para uma maior volatilidade e incerteza nos metais.
#silver
Ver original
post-image
post-image
  • Recompensa
  • Comentário
  • Repostar
  • Compartilhar
$XAUT /USDT ($5265.84)
Entrada: $5245–$5275
Alvos: $5330–$5350, depois $5420
SL: Abaixo de $5215
Suporte: $5235–$5200
Resistência: $5300–$5250
Bullish acima do suporte; uma quebra acima de $5330
pode prolongar os ganhos.
$5330 #XAUt $XAUT ‌
XAUT-1,32%
Ver original
post-image
  • Recompensa
  • Comentário
  • Repostar
  • Compartilhar
$RLUSD /USDT Análise
Zona de Entrada: $0.9998 – $1.0000
Objetivos: $1.0002, $1.0005, $1.0010
Stop Loss: $0.9990
Análise: RLUSD apresenta uma estabilidade de preço extrema, característica de uma stablecoin, atualmente a negociar a $0.9999.
Ver original
post-image
  • Recompensa
  • Comentário
  • Repostar
  • Compartilhar
Aumento do Preço do Petróleo e a Crise do Estreito de Hormuz
O conflito crescente entre os EUA e o Irão enviou
ondas de choque pelos mercados de energia. Após os ataques dos EUA e de Israel a partir de 28 de fevereiro de 2026, o Irão retaliou ao atacar navios e bloquear efetivamente a passagem segura pelo Estreito de Hormuz. As companhias de navegação relatam que o tráfego de petroleiros quase parou, com alguns navios atacados e seguradoras a retirar a cobertura de risco de guerra para o Golfo Pérsico. Esta perturbação ameaça cerca de um quinto do petróleo mundial e uma parte significativa do
Ver original
post-image
  • Recompensa
  • 1
  • Repostar
  • Compartilhar
MasterChuTheOldDemonMasterChuvip:
Rush de 2026 👊
#ROBO #Robô de Negociação#我正在 Gate usa o robô de martingale de contrato ROBOUSDT, com visão de baixa
ROBO59,56%
Ver original
post-image
[O usuário compartilhou seus dados de trading. Vá para o aplicativo para ver mais.]
  • Recompensa
  • Comentário
  • Repostar
  • Compartilhar
Pensando em desvanecer este $SOL ‌ movimento? Pode querer olhar mais de perto para esses candles primeiro.
Temos estado a sangrar há semanas, mas a ação do preço está finalmente a começar a estabilizar-se na zona de 81-88. Se olhar para os fechamentos diários recentes, a pressão de venda está claramente a esgotar-se. Recentemente, marcámos um mínimo perto de 67 e a recuperação foi suficientemente decente para mostrar que ainda há vida aqui.
Neste momento, $88,86 é o grande teste. Estamos basicamente a oscilar lateralmente, a tentar construir uma base. Se conseguirmos transformar esta resistên
SOL3,36%
Ver original
post-image
post-image
  • Recompensa
  • Comentário
  • Repostar
  • Compartilhar
EXCLUSIVO:
🇺🇸 O Presidente Trump diz que não descarta enviar tropas dos EUA para o Irão, segundo o NYP
Ver original
post-image
post-image
  • Recompensa
  • Comentário
  • Repostar
  • Compartilhar
Este jovem tecnológico transformou 27 dólares numa enorme fortuna ao comprar Bitcoin com fins educativos.
Naquela altura, em 2009, o Bitcoin valia alguns cêntimos.
Para ser exato, $0,0054 por um Bitcoin
Kristoffer Koch comprou 5.000 Bitcoins depois de se deparar com Crypto enquanto investigava e estudava criptografia.
Na altura de comprar, não esperava muito, foi apenas uma compra baseada na sua pesquisa.
Era simplesmente alguém que gostava de comprar coisas tecnológicas ao acaso que nunca usava, embora a sua namorada achasse que era um desperdício de dinheiro.
Depois de os comprar, praticamen
BTC4,09%
Ver original
post-image
post-image
  • Recompensa
  • Comentário
  • Repostar
  • Compartilhar
Depositar mais
Negocie criptomoedas a qualquer hora e em qualquer lugar
qrCode
Escaneie o código para baixar o app da Gate
Comunidade
Português (Brasil)
  • 简体中文
  • English
  • Tiếng Việt
  • 繁體中文
  • Español
  • Русский
  • Français (Afrique)
  • Português (Portugal)
  • Bahasa Indonesia
  • 日本語
  • بالعربية
  • Українська
  • Português (Brasil)